MFP.bnk

附錄 (三)  生 產 函 數 及 資 料 合 理 性 之 評 估

 


  生產力衡量頗受統計資料與估計公式之影響,而資料蒐集處理可能發生錯誤,因此任何有關這方面的研究,似宜先進行資料可信度之評估。然而可信度又拿什麼做為評判標準,基本上,若統計資料能適度解釋某些經濟現象。吾人認為此資料就有某種程度之可靠性。但用以評判的準則又如何選取呢﹖似很難有一致看法,由於本文重心在生產力衡量,因此吾人選用評估統計資料可信度的準則是:統計資料是否能配合出一條合乎經濟理論的生產函數,若是,則統計資料尚稱合理可信。

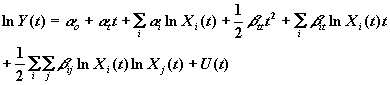
  本文選用限制條件較少之超越對數 (Translog) 生產函數,應用Seemingly Unrelated Regression Equations (SURE) 方法,估計下列聯立方程式:

 

  生產函數:

i, j = L,K

  份額函數:

i, j = L,K

  其中:

i, j = L,K,  βij=βji, i≠j

 

 U(t)Vj(t)i=L,K,皆為干擾項,反映統計差,以及決策未達完全效率等。

  為衡量投入要素生產力與生產技術,生產投入與產出需適當的對應,茲分別選取實質國內生產毛額指數、就業總工時指數、實質資本存量指數、勞動報酬、要素成本份額等經濟變數,假設固定規模報酬,應用 SURE 方法估計其生產函數,並檢視其是否合乎單調性、準凹性、邊際報酬遞減原則、二階條件大於零等。

  經檢視其各項統計結果,工業部門中營造業、製造業所配適的生產函數模型尚稱合理,且合乎正規條件,反映該二業廠商大都以達成成本極小目標生產;而礦業、水電燃氣業其生產函數配適度雖尚佳,但並不合乎正規條件;再觀察服務業部門,各業生產函數均能符合正規條件。觀諸礦業、水電燃氣業、運輸業所推估之生產函數未合乎正規條件,可能隱含下列原因:第一、由於礦業已日漸沒落,水電燃氣業又多屬獨占性質較強之行業,可能較不合乎固定規模報酬之生產函數,本文雖嘗試以其他較一般化之生產函數測試,但因估計之參數過多,且樣本點不夠,故是否有較佳之生產函數配適,仍有待進一步測試;第二、表示廠商資源配置效率差,因其顯著地偏離成本極小目標。本文雖大致肯定現有資料的可靠性,惟仍必須提出說明的是,本文之檢定乃假設長期均衡條件,因而若真實情況並非長期均衡,則即使不幸現有資料並未支持一個具有正規條件的生產函數,並不立即表示資料是錯誤的,因為真正經濟情況可能僅處於短期均衡之狀態。