MFP.bnk

附錄 (二)  多 因 素 生 產 力 統 計 之 意 義

 


  實質產出成長之因素中,除了透過要素投入增加所導致之直接貢獻外,尚有許多因素,如知識進步(包含技術與管理層面)、規模經濟、市場結構變動、產業結構改變、外部經濟、投入品質或組成改變等。這些因素可稱之為生產力成長因素, Abramovitz (1956)稱之為多因素生產力變動, Solow (1957)稱之為技術進步,而 Domar (1961)則建議以餘數或殘值稱之,即凡是實際產出變動無法藉由生產要素變動來解釋之部分,全部納入此一名詞之內涵。

  以下就生產面進行多因素生產力之衡量,簡述如次:

  假設有一生產函數:

 

  Q = f (L , K ;t)

(1)

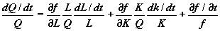
  代表 i 產業之產出投入關係,而所謂技術進步率,可視為隨時間變動,在生產要素投入數量固定不變時,由於投入品質改變,等產量曲線往上移動比率,亦即可定義為:

 

  

(2)

  由生產函數全微分得知:

  

  將上式遍除Q得:

 

  

(3)

  假設生產者在維持成本最小之條件下生產,則由滿足成本最小之一階條件知:

 

  

(4)

  W, R 分別表示勞動、資本要素價格

  : 為產生之邊際成本,

  將此條件代入 (3) 代知:

 

  

(5)

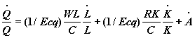
  由產出成本彈性知:

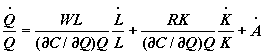
  將此關係式代入 (5) 式知:

 

  

(6)

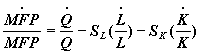
  然而由傳統多因素生產力變動率之決定式:

 

  

(7)

  知

 

  

(8)

  SL,SK 分別表示勞動與資本投入份額

  式中

 

  

  為衡量生產規模變動對生產力之影響效果,顯然多因素生產力變動率與生產函數之移動所表示之技術進步率並不相一致,除非 (1/Ecq) = 1 (亦即生產規模為固定規模報酬形式,否則多因素生產力之變動將同時受技術進步及生產規模變動之影響,且當生產規模報酬遞增 ((1/Ecq) > 1),/MFP 將大於由生產面所衡量之技術進步率 ,反之,當生產規模報酬遞減,則/MFP 將小於

  由以上討論可知,理論上規模經濟與技術進步對於產出之成長皆有所貢獻,因此忽略了規模經濟的效果,將誤估 MFP 成長率。但在實務上,為配合國民所得統計制度成本等於收入之概念,通常假設固定規模報酬,故:

 

  

  上式亦可修正為:

 

  

(9)

  解釋成每人產出變動率為多因素生產力成長率與資本密集度成長率對每人產出成長率貢獻之和;或可修正為:

 

  

(10)

  即多因素生產力指標為兩要素投入生產力貢獻之和。

  或為

 

  

(11)

  可知實質 GDP 之成長,除了勞動、資本投入量增加之貢獻外,其餘凡屬投入品質增進、技術變遷、資源運用效率提升、研究發展等,均歸入多因素生產力貢獻之範疇。